微信掃碼
不僅是專業的導購
還是聊車的好伙伴
微信掃碼
不僅是專業的導購
還是聊車的好伙伴
粉罐汽車的總體型式分為單車型(見圖3-54)和列車型(見圖3-53)兩大類。列車型包括半掛型和全掛型兩種。半掛型除牽引車和半掛車外,罐體及其它專用裝置與單車型總體結構基本相同。罐體可以是立式罐,也可以是臥式罐,通常帶有氣源。全掛型的全掛車底盤上的罐體及其它專用裝置與單車型總體結構也基本相似,便不帶氣源系統,通過罐體上設置的外接氣源接頭,在到達目的地后,外接城面氣源卸料。
(二)專業性能和主要參數的確定
1、卸料速度和剩余率
粉罐汽車的主要專業性能指標是指平均卸料的速度和剩余率。
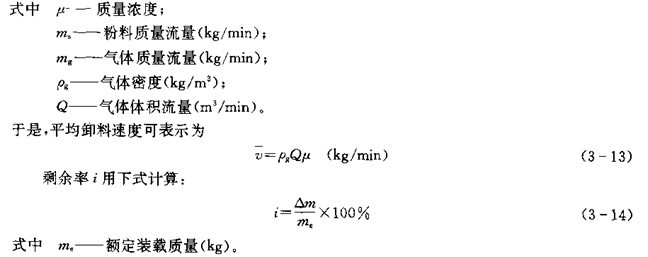
粉罐汽車卸料時,所卸下的粉料質量與卸料時間的比值稱為平均卸料速度。卸料作業完畢后,罐內剩余粉料的質量與粉罐汽車額定裝載質量的比值稱為剩余率。這兩個參數反映了粉罐汽車卸料作業的效率和經濟性,也是評價粉罐汽車設計水平的重要指標。
為了正確地評價和比較平均卸料速度和剩余率,一般在如圖3-60所示狀態下,規定卸料水平距離5m,卸料垂直高度15m,卸料管內徑100mm,壓縮氣體流量4-8m3/min,壓力196 KPa的條件下進行測量,這種狀態叫做標準狀態。平均卸料速度
由下式計算:



卸料時間是指打開卸料閥卸料開始至卸料完畢關閉卸料閥為止的一段時間。一般在罐內壓力上升到額定工作壓力
時打開卸料閥,到卸料接近結束, 罐內壓力下降到
時關閉卸料閥。
的一般值參見表3-5。
平均卸料速度與粉罐汽車的結構,壓縮空氣壓力和流量等因素有關,由卸料管內固氣二相流的濃度和速度決定。固氣二相流的濃度亦稱混合比,有質量濃度和體積濃度之分,常用的是質量濃度,用
表示。體積濃度用
表示。質量濃度是指單位時間內通過輸送管道有郊截面的粉料質量
,與氣體質量
之比,即:
剩余率i的大小與罐體內部結構,流態化裝置的性能有關。I值過大,會降低車輛的有郊裝載質量,影響經濟性。而且,粉料在罐內長期殘存會發生結塊、變質,這對食品類物料和化工產品的影響尤為嚴重。
粉料剩余量
主要由兩部分組成,一是罐內的“死角”和粗糙表面上的剩余量;二是流態化裝置或固氣混合裝置上的剩余量。解決辦法是在罐體內部結構設計時盡量消除“死角”,提高滑料板的平面度和表面光滑性,提高流態化床和固氣混合裝置的性能。
2、工作壓力
粉罐汽車 氣力卸料時壓縮空氣應有一定的工作壓力,用來滿足粉粒體和氣體流動需要的壓力降和流態化過程產生的壓力損失,這些壓力損失包括:氣流在管道沿程或局部的壓力損失,氣流透過流態化裝置的壓力損失。粉粒體的透氣壓力損失包括:氣流在管道沿程或局部的壓力損失,氣流透過流態化裝置的壓力損失,粉粒體的透氣壓力損失,固氣兩相流的加速壓力損失,摩擦壓力損失,懸浮壓力損失等。若工作壓力過小,平均卸料速度降低,易產生堵塞。工作壓力只需略大于卸料過程中和種壓力損失之和即可。
關于氣力輸送壓力損失的計算。通過大量的實驗和研究工作,提出了各種理論和計算公式。應該指出的是,這些理論和公式往往是在一定條件下建立的,這些條件包括粉料的物性,輸送濃度、輸送管直徑竺。目前尚難找到一個適用于各種粉粒體動壓氣力輸送的壓力損失計算辦法。試驗表明,多數粉粒體在196kPa的輸送壓力下可實現
值在40-300 之間的固 二相流氣力輸送。所以,一般粉罐汽車的額定工作壓力為196kPa,只有當長距離,高濃度輸送時才采有和大于196 kPa的卸料工作壓力。
3、壓縮空氣流量
壓縮空氣流量應滿足三方面的要求:一是能實現粉料流態化,二是管道輸送順利,三是平均卸料速度合乎要求。
(1)壓縮空氣流量與粉料流態化的關系,如前所述,透過氣體分布板的氣流速度應滿足下式粉料才會產生流態化,亦即壓縮空氣流量必須符合下式要求。


(2)壓縮空氣流量與客道輸送要求,對于管道氣力輸送,一般認為,只要輸送氣流速度大于粉粒體的懸浮速度
時,粉料就能順利輸送。但在粉罐汽車卸料的實際條件下,一方面由于粉粒體與罐壁之間以及粉粒體之間的碰撞,摩擦和粘附作用,另一方面由于輸料管中氣流速度分布不均勻,所以粉罐汽車要實現穩定氣力輸送。管內氣流速度要比粉粒體的懸浮速度大幾倍,甚至幾十倍。
粉罐汽車卸料時,可采用水平輸送或垂直輸送。在水平輸送中,粉粒體將要覺積下來不再參與懸浮輸送的極限狀態時的氣流速度,稱為沉積速度,用
表示。實踐證明,當管內氣流速度
,就不會產生粉粒體沉積堵塞,稱這個
為水平輸送安全氣速。在垂直輸送中,粉粒體到某一高度停滯不動稱為噎塞 ,此時的氣流速度稱為噎塞速度,用
表示。一般沉積速度大于或等于噎塞速度,所以通常用沉積速度或水平輸送安全氣速
來選取氣流速度,可用下式確定壓縮空氣流量。

(3)壓縮空氣流量與卸料速度從式(3-13)看出,卸料速度與壓縮空氣流量Q成正比。對于一般粉罐汽車來說,二相流的混合比
所能達到的最大值受罐內流態化裝置和氣力輸送條件限制,故增加Q值是提高卸料速度的有效途徑。表3-5列出了部分粉罐汽車的Q值。表3-6列出了部分粉粒體在粉罐汽車上氣力輸送所能達到的平均卸料速度
剩余率i和混合比
值。



陜汽后雙橋20立方出口型壓縮垃圾車專為海外環衛市場量身打造,以硬核配置、可靠品質與全球化適配性,成為海外市政環衛、工業園區、大型社區垃圾集中清運的優選裝備,適配非洲、東南亞、南美等全球多地區工況,出口資質齊全,支持定制化改裝,助力全球環衛升級。
程力汽車公司主要銷售:冷藏車、吸污車、環衛垃圾車、吸糞車、道路清掃車、高空作業車 地址:湖北省·隨州市·南郊平原崗·程力汽車工業園 網站備案號:鄂ICP備18017768號-134
鄂公網安備 42130202001503號